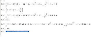
equazioni esponenziali con cabri, geogebra, excel, derive
esercitazone didattica
http://marinofurlan.altervista.org/matematica/logaritmi/performule/esercizix/esex25.html
http://marinofurlan.altervista.org/matematica/logaritmi/performule/esercizix/esex26.html
http://marinofurlan.altervista.org/matematica/logaritmi/performule/esercizix/esex27g.html
http://marinofurlan.altervista.org/matematica/logaritmi/performule/esercizix/esex27d.html
giovedì 16 gennaio 2020
Iscriviti a:
Commenti sul post (Atom)

Nessun commento:
Posta un commento